可靠性和生存方法 > 退化 > “退化”平台中的稳定性分析 > “退化”平台中的稳定性分析的统计详细信息
发布日期: 09/18/2023

“退化”平台中的稳定性分析的统计详细信息

对于拟合不同截距和斜率的不可合并模型,线性退化模型的斜率和截距的标准误差如下所述。

对于模型截距,标准误差等效于以下公式:

Equation shown here

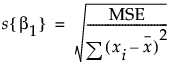
对于模型斜率,标准误差等效于以下公式:

Equation shown here

需要更多信息?有问题?从 JMP 用户社区得到解答 (community.jmp.com).