本节包含关于用于为空间填充设计扩充选择各点的算法的统计详细信息。
用于扩充设计的算法首先在指定的设计区域内生成大量随机点。随后使用快速 Ward 算法将这些点聚类到个数与您指定的“额外试验数”相同的多个聚类中。
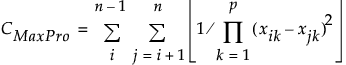
通过对现有和额外试验优化 MaxPro(最大投影)准则来得到最终设计点。对于 p 个因子以及 n 等于现有和额外试验数的情况,MaxPro 准则尝试查找聚类中可最小化以下准则的点:

MaxPro 准则可在考虑所有因子的前提下,令设计点之间的距离乘积最大化。这样即可支持为因子投影提供良好的空间填充属性的目标。请参见 Joseph et al. (2015)。