本节提供有关根据“过程能力”平台的“目标图”中绘制的规格量标准化的均值偏移和标准差的计算的详细信息。本节使用关于符号的统计详细信息中定义的符号。
根据第 j 列的规格限标准化的均值偏移和标准差定义如下:
规格标准化均值 = 
规格标准化标准差 = 
注意:若 LSLj 或 USLj 缺失,则“目标图”坐标的分母中将使用目标与非缺失规格限之间距离的两倍。
假定过程同时具有上规格限和下规格限,但没有目标。则使用目标图的统计详细信息中提供的公式,并且用两个规格限的中点替代 Tj。
假定过程仅有一个规格限且没有目标。要获取目标图上某个点的 (x,y) 坐标,将使用过程的能力指标。(请参见正态分布的能力指标的统计详细信息,了解理论均值和标准差的定义。)对于样本观测,存在以下关系:


若某过程具有两个规格限并且目标位于限值中点,则该点在目标图上的 (x,y) 坐标满足以下关系:


要在仅有一个规格限且无目标的情况下获取坐标,将使用以下关系。要确定唯一点,则需要关于从原点出发的线条(各点落在其上)的斜率的假设。对于仅有上规格限的情况,假定斜率为 0.5;对于仅有下规格限的情况,假定斜率为 -0.5。当能力值等于 1 且目标图三角形的 Ppk 滑块设置为 1 时,这些斜率会使各点落在目标图三角线上。
考虑仅有上规格限且无目标的情况。使用以下假设:(x,y) 坐标落在从原点出发斜率为 0.5 的线上,对 x 和 y 求解将得到以下坐标:

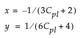
考虑仅有下规格限且无目标的情况。使用以下假设:(x,y) 坐标落在从原点出发斜率为 -0.5 的线上,对 x 和 y 求解将得到以下坐标:

注意:若 Cpu 或 Cpl 小于 -0.6,则在上面的公式中将设置为 -0.6。在值 -2/3 处,x 的分母假设值为 0。将能力值绑定在 -0.6 可防止分母假设值为 0 或切换符号。