“1 型量具研究”报表为启动窗口中指定的每个测量值列都包含一个“1 型量具分析”报表。列名包括在每个分析报表的标题中。默认情况下,“1 型量具分析”报表包含一个测量值运行图以及一个汇总和能力统计量表。
• 运行图
在“1 型量具分析”报表中,测量值的运行图包括参考值处的水平线以及容差上限和下限。容差基于参考标准值 (Ref)、容差值的百分比 (p) 以及容差范围 (Tol),并且按如下方式计算:
容差对应部分 = Ref ± 0.5p*Tol
“运行图”红色小三角菜单包含以下选项:
显示容差对应部分
显示或隐藏运行图上的容差对应部分线。若容差范围已给定或计算出来,则默认显示容差对应部分。
显示参考
显示或隐藏运行图上的参考值。默认显示参考值。
显示均值
显示或隐藏运行图上的均值。
在“1 型量具分析”报表中,“汇总和能力统计量”表包含用于确定测量系统重复性的统计量。
注意:仅当在分析之前在 MSA 元数据中指定了容差范围时,才包括涉及容差范围 (Tol) 的统计量。
参考 (Ref)
在 MSA 元数据中定义的参考标准值。
均值
观测到的测量值的均值。
标准差
观测到的测量值的标准差 s。
k*标准差
sigma 乘数(在启动时定义)乘以标准差。
数目
观测到的测量值数目。
容差范围 (Tol)
容差范围。
Ref - (p/2)*Tol
显示在运行图上的容差值的下部。
Ref + (p/2)*Tol
显示在运行图上的容差值的上部。
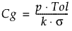
Cg
一个用于衡量测量值的变异与指定的容差范围符合程度的度量。良好测量系统的常见阈值是 Cg 值为 1.33 或更大。Cg 按如下方式计算:

Cgk
类似于 Cg 值计算的测量值,但还会将偏移考虑在内。良好测量系统的常见阈值是 Cgk 值为 1.33 或更大。Cgk 按如下方式计算:

重复性的方差百分比
ks 使用的容差范围百分比。较高的值指示系统中有更大的测量变异性。重复性的方差百分比计算如下:
重复性的方差百分比 = (ks/Tol) × 100
重复性和偏倚的方差百分比
类似于重复性的方差百分比的测量值,但还会将偏移考虑在内。
偏倚
均值与参考标准值之间的差值。
偏倚/Tol %
百分比偏倚值,该值计算如下:

分辨率 (Res)
测量设备能够报告的最小分辨率。
Res/Tol %
分辨率百分比值,该值计算如下:
