在“响应曲面设计”平台中,“选择设计”部分支持您选择某个设计。设计包括两种类型:
• 中心复合设计
图 12.13 选择包含四个因子的设计面板
Box-Behnken 设计中的每个因子只有三个水平,并且在因子范围定义的立方体的顶点处没有设计点。当出于工程考虑希望避免极端设置时,这些设计很有用。但是,与中心复合设计相比,这些设计导致顶点附近有更高的预测方差。
中心复合设计具有中心点和轴点。轴点是将一个因子设置为高值或低值(轴值)并将所有其他因子设置为中间值(或中心值)的点。
中心复合设计可以有位于指定因子范围所定义的超立方面之外的轴点。这意味着每个因子可能需要五个非重复设置,其中包括位于“因子”部分中指定的值范围外的两个设置。但是,JMP 允许您在该面上放置设计点。
JMP 推荐的默认值中心点数取决于设计类型。中心点基于设计的目标和最优性准则。中心点数会影响设计的均匀精度或正交性属性。
提供以下类型的中心复合设计:
中心复合设计
用于定义响应曲面模型的典型的中心复合设计。使用两个中心点。
CCD - 均匀精度
一种设计,设计中要选择一定的中心点数以使设计空间中心附近的预测方差极为平缓。这些设计使用大量中心点。
CCD - 正交
一种设计,设计中要选择一定的中心点数和轴值以使二阶参数估计值与其他参数估计值最小相关。这些设计使用大量中心点。
CCD - 正交区组
一种设计,设计中的二阶参数估计值和区组效应与其他参数估计值最小相关。这些设计使用大量中心点。
选择一个中心复合设计并点击继续时,您可以使用选项来提供轴尺度信息。在放置轴值时,显示的值用于乘以指定因子范围的一半。若您在“轴值”旁别指定值 1.0,则将所得设计中的轴点放置在因子所定义的立方体面上。您可以根据以下选项设置轴值:
图 12.14 “轴值”面板
可旋转
预测方差仅依赖于距设计中心的统一尺度距离。轴点比因子范围还更远。轴点设置在析因试验数的 4 次方根处。
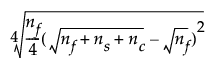
正交
效应彼此不相关,因此估计值具有最小的标准误差和最短的置信区间。轴点比因子范围还更远。轴点由以下计算决定:

其中
nf = 析因试验数
ns = 轴试验数
nc = 中心试验数
位于表面
将轴点放置在指定因子范围的极端。这将生成三个因子个水平。这是一种实用的选择,但生成的设计非正交,也不可旋转。
用户指定
将轴点放置在您在“轴值”文本框中输入的值所指定的距离处。这将支持基于因子水平的实际约束来选择轴值。生成的设计不太可能是正交的或可旋转的。
内切
重新设置设计尺度以便轴点位于因子范围的低端和高端。根据该尺度收缩析因设计点。