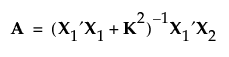
对于具有“若可能”效应的设计实验(Bayes A、D 和 I 最优设计),其别名矩阵按以下方式给出:

其中 K 是具有以下值的对角矩阵:
• k = 0 代表“必需”项
• k = 1 代表涉及含有两个以上水平的分类因子的“若可能”主效应、幂和交互作用
• k = 4 代表其他所有“若可能”项
在 Bayesian 情形中,别名矩阵给出对应于带有先验方差
的岭回归的效应别名程度。有关 Bayes 设计的其他详细信息,请参见Bayesian D 最优性和Bayesian I 最优性。
在“定制设计”平台中,您可以通过从红色小三角菜单中选择高级选项 > 先验参数方差来控制用于“若可能”项的权重。在此处您可以通过指定 K 的对角线元素为所有模型项设置先验方差。当您点击“制作设计”时,该选项随之更新以显示默认权重。