拟合线性模型 > 混合模型 > 使用“混合模型”特质的示例
发布日期: 03/04/2025

此处显示图片使用“混合模型”特质的示例

本例演示如何使用“拟合模型”平台的“混合模型”特质拟合截距和斜率之间相关性的模型。在小麦产量的研究中,从适应干燥气候条件的硬红冬麦品种的总体中随机选择 10 个小麦品种。将这些品种随机分配给 6 个一英亩地块。种植前地块的含水量可能影响发芽率,从而影响地块的最终产量。因此,为每个地块确定土壤表层 36 英寸内的种植前水分含量。您想知道含水量是否影响产量。

因为是随机选择品种,每个品种的回归模型是从品种模型的总体中选择的随机模型。截距和斜率对于每个品种是随机的,并且可能相关。随机系数以固定效应为中心。固定效应是总体截距和斜率,它们是品种的截距和斜率总体的期望值。本例摘自 Littell et al. (2006, p. 320)。

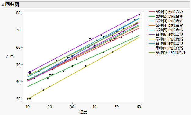
在“标准最小二乘法”特质中使用 REML 拟合模型,这使您可以查看截距和斜率中的变异(Figure 8.2)。请注意斜率没有很大的变异性,但是截距有很大的变异性。截距和斜率可能是负相关的,具有较小截距的品种似乎有更大的斜率。

图 8.2 标准最小二乘法回归 

此处显示图片

要对截距和斜率之间的相关性建模,可以使用“混合模型”特质。您想确定总体回归方程以及特定品种的方程。

1. 选择帮助 > 样本数据文件夹,然后打开 Wheat.jmp

2. 选择分析 > 拟合模型

3. 选择产量并点击 Y

当您将该列添加为 Y 后,拟合特质变为“标准最小二乘法”。

4. 从“特质”列表中选择混合模型。或者,您可以先选择“混合模型”特质,然后点击 Y 以添加产量

5. 选择湿度,然后点击“固定效应”选项卡上的添加

图 8.3 显示“固定效应”的完成的“拟合模型”启动窗口 

此处显示图片

6. 选择随机效应选项卡。

7. 选择湿度,然后点击添加

8. 从“选择列”列表中选择品种,从“随机效应”选项卡中选择湿度,然后点击嵌套随机系数

图 8.4 显示“随机效应”选项卡的完成的“拟合模型”启动窗口 

此处显示图片

随机效应按品种分组,并且截距作为随机成分包括在内。

9. (可选。)点击“模型规格”红色小三角并选中中心多项式选项的设置。

即使选择了“中心多项式”选项,湿度效应也不会以其均值为中心,因为它涉及到随机效应。

10. 点击运行

“混合模型”报表显示在Figure 8.5 中。“预测值-实际值”图显示模型拟合和所基于的假设之间没有不一致之处。

因为模型拟合没有明显的问题,您现在可以解释统计检验并获得回归方程。湿度对产量的影响是显著的,如“固定效应检验”报表中所示。“固定效应参数估计值”中给出的估计值指示以下方程是估计的总体回归方程:

产量 = 33.43 + 0.66 * 湿度

“随机效应协方差参数估计值”报表给出品种的截距方差估计值“Var(截距)”、品种的斜率(即湿度)方差估计值“Var(湿度)”以及它们的协方差估计值“Cov(湿度, 截距)”。在该示例中,截距和斜率不显著相关,因为估计值的置信区间包括零。该报表还给出残差方差的估计值。

图 8.5 “混合模型”报表 

此处显示图片

尽管您有总体回归方程的估计值,还想知道品种 2 的估计产量。

11. 打开“随机系数”报表以查看“截距”和“湿度”的品种效应估计值。这些系数估计每个品种与总体的差异有多大。

图 8.6 “随机系数”报表 

此处显示图片

从“固定效应参数估计值”和“随机系数”报表,您得到品种 2 的以下预测方程:

产量 = 33.433 + 0.662 * 湿度 – 2.284 – 0.067 * 湿度

产量 = 31.149 + 0.595 * 湿度

品种 2 开始的产量低于总体平均值,且随湿度增加的速率慢于总体平均值。

需要更多信息?有问题?从 JMP 用户社区得到解答 (community.jmp.com).