“空间填充设计”红色小三角菜单包含“FFF 最优性准则”下的最优性准则。
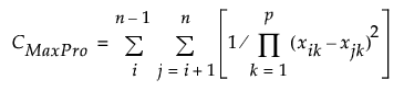
连续因子的 MaxProfor
对于 p 个连续因子以及 n 等于指定“试验次数”的情况,MaxPro 准则尝试查找聚类中可最小化以下准则的点:

MaxPro 准则可在考虑所有因子的前提下,令可能的设计点之间的距离乘积最大化。这样即可支持为因子投影提供良好的空间填充属性的目标。请参见 Joseph et al. (2015)。Max Pro 选项是默认选项。
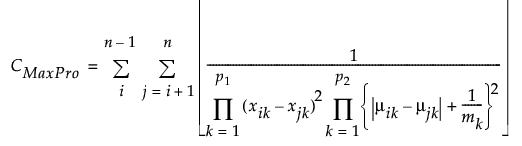
包含非连续因子类型的设计的 MaxPro
对于包含非连续因子类型的设计,MaxPro 准则遵循 Joseph et al.(2020) 中的方法。对于 p1 个连续因子、p2 个非连续因子、离散因子 k 的 m 个水平以及 n 等于指定“试验次数”的情况,MaxPro 准则尝试查找聚类中可最小化以下准则的点:

重心法
该方法在每个聚类的重心放置一个设计点。它具有这样的属性:从设计空间中的任意点到其最近邻近设计点的平均距离比其他设计都要小。
注意:您可以设置首选项,以便始终使用给定的最优性准则。选择文件 > 首选项 > 平台 > 实验设计。选择 FFF 最优性准则并选择您首选的准则。
当您有分类因子时,算法如下所示:
• 设计点总数在分类因子的水平组合总数上是平衡分布的。假定有 m 个水平组合,给 k 个设计点分配给这些组合的每一个。
• 生成由连续变量定义的设计空间内的大量点。将它们分为 k 个主聚类。
• 将点的 k 个主聚类中的每个主聚类进一步分为 m 个子聚类。
• 在每个主聚类中,使用指定的 FFF 最优性准则计算 m 个子聚类中每个子聚类的设计点。
• 对于 k 个主聚类中的每个主聚类,将 m 个水平组合之一随机分配给 m 个子聚类设计点的每个设计点。这一共得到 km 个设计点。
• 对于每个 k 主聚类,都会根据 MaxPro 准则为水平的 m 组合的每一个组合选择一个设计点,其中,具有相同分类因子水平的点要乘以 MaxPro 分类权重。(有关 MaxPro 分类权重的说明,请参见空间填充设计选项。)该过程在全部 k 个主聚类中持续执行 10 次,或者持续到更改给定设计点不再有任何改进为止。
请参见 Lekivetz and Jones (2018)
“设置平均聚类大小”选项支持您指定用来定义每个聚类(或等效的每个设计点)的随机生成点的平均数。该选项位于“空间填充设计”红色小三角菜单的“高级选项”下方。
默认情况下,若“试验次数”设置为 200 或更小,则聚类算法以总共 10,000 个随机均匀生成的点作为基础。当试验次数超过 200 时,将使用默认值 50。对于因子数很大的设计或当不被允许的组合限制了聚类算法中使用的点的分布时,增加该值可能特别有用。
注意:根据因子数和为“试验次数”指定的值,您可能需要通过选择高级选项 > 设置平均聚类大小增大每个设计点的初始点平均数。