通过选择分析 > 可靠性和生存 > 以 X 拟合寿命启动“以 X 拟合寿命”平台。
图 4.4 “以 X 拟合寿命”启动窗口
有关“选择列”红色小三角菜单中选项的详细信息,请参见《使用 JMP》中的“列过滤器”菜单。
“以 X 拟合寿命”启动窗口包含以下选项:
Y,事件时间
标识事件时间(如,失效时间)或删失时间。在区间删失时,指定两个 Y 变量,其中一个 Y 变量提供每个单元的下限,另一个 Y 变量提供每个单元的上限。有关删失的详细信息,请参见事件图。
X
标识加速因子。
删失
标识删失观测。从“选择列”列表下方的“删失代码”菜单中选择用于标识右删失观测的值。仅当输入一个 Y 时才使用“删失”列。
频数
标识有多个单元时的频数或观测计数。若值为 0 或一个正整数,则在记录多个单位的情况下,该值表示每行的观测频数或计数。
依据
标识一列,该列创建的报表包含变量每个水平的单独分析。
删失代码
标识“删失”列中指定右删失观测的值。选定某个“删失”列后,JMP 会尝试自动检测删失代码并在框中显示该代码。要对此进行更改,请点击红色小三角并从值列表中进行选择。您还可以在框中输入不同值。若“删失”列包含“值标签”列属性,值标签将显示在值列表中。缺失值会从分析中排除。
关系
标识事件时间变量与加速因子之间的关系。Table 4.1 定义每种关系的模型。
关系 | 模型 |
|---|---|
Arrhenius 摄氏温度 | μ = b0 + b1 * 11604.5181215503 / ( X + 273.15 ) |
Arrhenius 华氏温度 | μ = b0 + b1 * 11604.5181215503 / ( ( X + 459.67 ) / 1.8 ) |
Arrhenius 绝对温度 | μ = b0 + b1 * 11604.5181215503 / X |
逆幂 | μ = b0 + b1 * log(X) |
线性 | μ = b0 + b1 * X |
对数 | μ = b0 + b1 * log(X) |
Logit | μ = b0 + b1 * log( X / ( 1 - X ) ) |
倒数 | μ = b0 + b1 / X |
平方根 | μ = b0 + b1 * sqrt(X) |
Box-Cox | μ = b0 + b1 * BoxCox(X) |
定制 | 用户定义的 m 和 s |
无效应 | 指定 μ 对于 X 的每个水平都具有相同的值 |
位置 | 指定 μ 对于 X 的每个水平都不同 |
位置和尺度 | 指定 μ 和 σ 对于 X 的每个水平均不同(等同于 X 作为“依据”变量时的“寿命分布”拟合) |
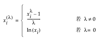
若您选择 Box-Cox,文本编辑框显示在“使用条件”选项之下。使用该框可指定 lambda 值。指定的 l 的 BoxCox( X ) 变换定义如下:

若想要对模型使用“定制”关系,请参见定制关系。
嵌套模型检验
向报表窗口附加非参数叠加图、嵌套模型检验和多重概率图。
使用条件
支持您为加速因子的解释变量 X 输入值。您还可以在启动该平台后使用“以 X 拟合寿命”红色小三角菜单中的“设置时间加速使用条件”选项设置使用条件值。
分布
指定用于对 X 和 Y 变量之间的关系建模的分布(Weibull、对数正态、对数 Logistic、Fréchet、最小极值、正态、Logistic、最大极值或指数分布)。对数正态是默认设置。
选择置信区间方法
指定用于计算参数的置信区间的方法。在 Wald 或似然方法之间进行选择。Wald 方法是一种近似方法,运行较快。似然方法提供更精确的参数,但计算时间较长。Wald 方法是默认设置。
注意:“置信区间方法”首选项支持您选择“似然”方法作为默认的置信区间方法。您可以在“首选项”>“平台”>“以 X 拟合寿命”中更改该首选项。