“模型拟合”报表选项在“函数数据分析器”平台中拟合数据模型时,将显示模型报表。模型报表的红色小三角菜单包含以下选项:
注意:这些选项不可用于“峰度查找”报表。
模型选择
(不可用于直接模型。)显示作为模型选择准则的选项的子菜单。这些选项是 AICc、BIC 和 GCV。请参见《拟合线性模型》似然、AICc 和 BIC中的。
标绘基函数图
(不可用于小波或直接模型。)在一个图形上显示或隐藏所有基函数的图。
诊断图
(不可用于小波或直接模型。)显示或隐藏“诊断图”报表。请参见诊断图。
函数汇总
显示或隐藏“函数汇总”报表。请参见函数汇总。
基函数系数
(不可用于直接模型。)显示或隐藏相应模型拟合的系数报表。请参见系数。
按函数划分的随机系数
(不可用于小波或直接模型。)显示或隐藏“按函数划分的随机系数”报表。请参见按函数划分的随机系数。
函数 PCA
显示或隐藏“函数 PCA”报表。请参见函数 PCA。
小波实验设计分析
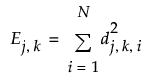
(仅当在启动窗口中指定了至少一个补充变量并且拟合数据的小波模型时才可用。)在 FDE 平台中启动“广义回归”报表。将补充变量用作模型效应,拟合小波系数的广义回归模型。因为可以有许多小波系数,所以只拟合影响最大的这部分系数。这部分系数由每个小波系数的能量确定。小波系数的能量计算如下:

其中,j = 分辨率,k = 输入域中的位置,i = 函数,d = (j,k,i) 的小波系数。总能量是系数的所有能量值之和:

能量值用于“小波实验设计分析”报表中显示的“能量”表。“能量”表包含以下列
系数
小波系数,由输入域中的分辨率和位置标识。
能量
对应小波系数的相对能量。相对能量是通过所有小波系数的最大能量标准化的能量值。计算为 Ej,k/maxj,k(Ej,k)。
百分比
与总能量相比,相应小波系数的能量百分比。这说明该系数相对于所有系数之和的大小。
累积
总能量的累积百分比。
累积解释至少 90% 的总能量的系数显示在“能量”表中。
为“能量”表中的父小波和每个小波系数拟合广义回归模型。默认情况下,拟合二阶析因模型,“估计方法”为“最佳子集”。请注意,分类二次效应未包括在内。若模型中的项数大于 20 或函数数目大于 1000,则“估计方法”会自动切换为“剪除向前选择”。或者,可以在原始数据表中指定定义所需模型拟合的模型脚本。
使用补充变量对单个小波系数进行建模,这样您就可以看到补充值如何影响特定输入值周围峰值的位置。这是因为每个小波系数都与输入域上的特定位置直接相关。您随后使用“FDOE 刻画器”探索补充变量如何影响响应。
提示:若“小波实验设计分析”选项未能加载(该情况很少出现),对数据使用“标准化”预处理步骤,针对中心化和统一尺度的数据重新拟合小波模型,然后尝试启动“小波实验设计分析”。
“小波实验设计分析”报表包含以下红色小三角菜单选项:
小波系数的广义回归
显示或隐藏每个小波系数的“广义回归”报表。有关“广义回归”模型报表的详细信息,请参见《拟合线性模型》模型拟合报表中的。
诊断图
显示或隐藏响应变量的“预测值-实际值”图和残差图。
FDOE 刻画器
显示或隐藏“FDOE 刻画器”,该刻画器支持您探索响应如何根据补充变量进行更改。有关“FDOE 刻画器”红色小三角菜单选项的详细信息,请参见《刻画器指南》刻画器中的。
保存列
显示一个列表,其中包含选项“保存预测公式”和“保存残差公式”。使用这些选项可将相应的公式保存至数据表中的新列。若原始数据格式为“行作为函数”或“列作为函数”,这些选项会创建一个新数据表,其中包含堆叠格式的原始数据和一个具有相应公式的列。
函数实验设计分析
(仅当在启动窗口中指定了至少一个补充变量时才可用。)在 FDE 平台中启动“广义回归”报表。将补充变量用作模型效应,对各个 FPC 得分函数进行广义回归模型拟合。默认情况下,拟合二阶析因模型,“估计方法”为“最佳子集”。请注意,分类二次效应未包括在内。若模型中的项数大于 20 或函数数目大于 1000,则“估计方法”会自动切换为“剪除向前选择”。或者,可以在原始数据表中指定定义所需模型拟合的模型脚本。使用补充变量对 FPC 得分进行建模可支持您使用模型拟合来确定响应如何基于补充变量进行更改。使用“FDOE 刻画器”探索补充变量如何影响响应。
注意:
‒ 若您选择一个非负直接模型,则函数实验设计分析的预测也是非负的。这是通过自动将广义回归启动中的响应分布切换为零泛滥 Gamma 分布来实现的。
‒ 若您选择多元曲线分辨率模型之一,则预测得分会重新调整为总和为 1。这确保了预测响应具有正确的分量混合比例。
“函数实验设计分析”报表包含以下红色小三角菜单选项:
“FPC 得分”的广义回归
显示或隐藏每个 FPC 得分的“广义回归”报表。有关“广义回归”模型报表的详细信息,请参见《拟合线性模型》模型拟合报表中的。
诊断图
显示或隐藏响应变量的“预测值-实际值”图和残差图。
FDOE 刻画器
显示或隐藏“FDOE 刻画器”,该刻画器支持您探索响应如何根据补充变量进行更改。若指定了目标函数,则刻画器图形上方会提供更多按钮选项。您可以优化目标函数以及显示或隐藏目标刻画器。若选择“显示目标刻画器”,则还会向报表中添加另外两个刻画器。一个用来测量与目标函数的差值,另一个用来测量与目标函数的积分误差。有关“FDOE 刻画器”红色小三角菜单选项的详细信息,请参见《刻画器指南》刻画器中的。
保存列
显示一个列表,其中包含选项“保存预测公式”和“保存残差公式”。使用这些选项可将相应的公式保存至数据表中的新列。若原始数据格式为“行作为函数”或“列作为函数”,这些选项会创建一个新数据表,其中包含堆叠格式的原始数据和一个具有相应公式的列。
保存数据
将建模的数据保存到新数据表。建模的数据以堆叠数据格式保存。
删除拟合
为指定的拟合删除模型报表。