考虑加速寿命试验 (ALT) 最多在三个加速因子 xi(分别具有 Ji 个水平)之间进行。试验计划的目标是确定分配给每个因子水平组合的样本数。
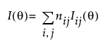
最优性准则的计算依赖于来自单个水平特定信息矩阵的总体 Fisher 信息矩阵

以及在适当的情况下包含先验不确定性 S。
分位数最优设计 Dq 是使以下表达式最小化的设计:

其中,向量 c 取决于最低使用条件。
对于单一使用条件

其中,zp 是失效分布的第 p 分位数。
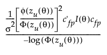
失效概率最优设计 Df 是使以下表达式最小化的设计:

其中,zU(θ) 是如分位数最优性中定义的使用条件下的标准化对数时间。cfp 类似于分位数最优性中定义的 c,只不过最后一项是 zU(θ)。分子中的量基于 logΦ(zU(θ)) 的渐近方差,其中对数变换用于数值稳定性。