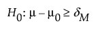
使用“单样本均值等价性的功效分析器”可确定关于一个均值的等价性、优效性或非劣效性检验的样本大小。选择实验设计 > 样本大小分析器 > 功效 > 单样本均值等价性的功效。探索在变异性、样本大小、功效、显著性和关注的裕度之间如何权衡。样本大小与功效与以下假设检验相关联:
或者 
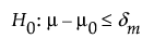
对比备择假设:

其中,m 是真实均值,m0 是参考值,(dm, dM) 是等价性检验的等价性范围。对于优效性或非劣效性检验,仅使用备择假设的一侧。对于相同的显著性水平和功效,检测小差值与检测大差值相比,前者需要更大的样本大小。假定关注的总体服从均值为 m、标准差为 s 的正态分布。
使用单选按钮、文本框和菜单设置研究假设并探索样本大小。对设置进行更改时,刻画器随之更新。或者,通过拖动刻画器曲线上的十字准线来更改设置。
检验类型
用于指定检验的选项。
等价性
指定均值与参考值的等价性检验。
优效性
指定均值与参考值的优效性检验。
非劣效性
指定均值与参考值的非劣效性检验。
裕度上限
(仅可用于等价性检验。)指定最大值,高于该值的均值被视为不同于参考值。
裕度下限
(仅可用于等价性检验。)指定最小值,低于该值的均值被视为不同于参考值。
使用对称界限
(仅可用于等价性检验。)将裕度设置为对称。
注意:通常,等价性范围是对称的。
检验方向
(可用于优效性或非劣效性检验。)指定备择假设的方向。
越高越好
指示备择假设是一个大于假设。
越低越好
指示备择假设是一个小于假设。
提示:使用示意图来评估您的检验是否按要求设置。红色箭头标绘原假设的方向,而蓝色箭头标绘备择假设的方向。
裕度
(可用于优效性或非劣效性检验。)指定优效性或非劣效性裕度的绝对值。
初步信息
用于指定您的检验的选项。
Alpha
I 类误差的概率,即当原假设为真时拒绝原假设的概率。它通常是指检验的显著性水平。默认 alpha 水平为 0.05。
总体标准差
指定计算的分布。
是
指定已知标准差,计算使用 z 分布。
否
指定未知标准差,计算使用 t 分布。
该刻画器支持您直观演示假设的样本大小对于功效计算的影响。
对下列对象求解:
支持您求解样本大小、待检差值或假定的标准差。
功效
指定当原假设为假时拒绝原假设的概率。在其他所有参数保持不变时,功效随着样本大小的增加而增加。
样本大小
指定您实验中需要的总观测数(试验、实验单元或样本)。
待检差值
指定真实均值与假设的或参考均值之间的差值,以便将两个均值视为等价、优于或不差于。
标准差 (s)
假定的总体标准差。
“分析器”红色小三角菜单和报表按钮提供更多选项:
模拟数据
打开基于分析器设置的模拟数据的数据表。查看所用设置的模拟响应列公式。
制成数据收集表
创建可用于数据收集的新数据表。该表包含有助于数据分析的脚本。
保存设置
将当前设置保存至“已保存设置”表。这样您就可以保存一套备选研究计划。请参见样本大小分析器中的已保存设置。
重置为默认值
将所有参数和图形重置为其默认设置。
帮助
打开 JMP 联机帮助。
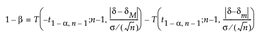
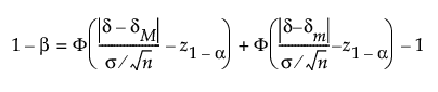
在一个样本组中检验等价性的功效计算基于 Chow et al.(2008) 中所述的方法。
若 s 未知,功效 (1-b) 计算如下:

若 s 已知,则功效 (1-b) 计算如下:

其中:
a 是显著性水平。
n 是样本大小。
s 是假定的总体标准差。
d 是待检差值。
(dm, dM) 是等价性范围
t1-α,n, 是自由度为 n 的中心 t 分布的第 (1 - a) 分位数
T(t; n, l) 是自由度为 n 且非中心参数为 l 的非中心 t 分布的累积分布函数。