实验设计指南
>
评估设计
>
“评估设计”的统计详细信息
> 估计的相对标准误差
发布日期: 03/04/2025
估计的相对标准误差
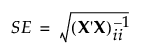
“评估设计”报表中报告了估计值的相对标准误差。对于第
i
个参数估计值,按以下方式定义“估计的相对标准误差”:
其中
X
是
别名矩阵
中定义的模型矩阵,
是
的第
i
个对角线元素。
需要更多信息?有问题?从 JMP 用户社区得到解答
(community.jmp.com)
.
本网站在启用 JavaScript 的情况下效果最佳。