标记注解位置
该列列出每个标记的染色体上所处的位置,前提是您指定了列出标记的染色体上所处的位置的注解表。若未提供位置信息,则会列出输入 JMP 表中每个标记的列号。
交互标记注解位置
该列列出每个对比遗传标记的染色体上所处的位置,前提是您指定了列出标记的染色体上所处的位置的注解表。若未提供位置信息,则会列出输入 JMP 表中每个对比遗传标记的列号。
标记对之间的距离
该列列出标记对之间的距离。若未提供位置信息,则会列出输入 JMP 表中每组对比遗传标记之间的列距。
计数
每个标记观测的个体总数。
缺失值比例
每个标记或标记对的个体缺失数据的比例。
基因型计数
每个标记的基因型数量的观测值。
等位基因计数
每个标记的等位基因数量的观测值。
次要等位基因
每个标记上出现的频率较低的等位基因。
最常见的等位基因编码为零
每个标记上出现的频率最高的等位基因。该等位基因纯合的个体为该标记编码为 0。
次要等位基因频率 (MAF)
MAF 表示观测总体中每个标记的次要等位基因的比例。假定双等位基因基因座 M 具有等位基因 M1 和 M2。因此,N 个偶数 k 倍体生物体的样本可以具有 k + 1 个不同的基因座的基因型。计数为 i (i = 0, 1, 2, …, k) 的等位基因 M1 和计数为 j (j = 0, 1, 2, …, k) 的等位基因 M2 的个体数量用 Nij 表示。等位基因 M1 的计数 n1 可以直接通过求和得到:n1 = 0 × N00 + 1 × N10 + 2 × N20 + … + k × Nk0。等位基因 M1 的样本频率记作 p1 = n1 / (k × n),等位基因 M2 的频率记作 p2 = 1 - p1,每个携带 u 份等位基因 M1 和 v 份等位基因 M2 的基因型的样本频率记作 Pij = Nij / n。
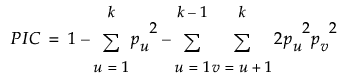
多态信息含量 (PIC)
PIC (Botstein et al., 1980; Hilderbrand, Torney, and Wagner, 1992) 测量在给定父亲、母亲和孩子的标记基因型的情况下,特定父母传递给其孩子的等位基因的不同基因型的概率。

杂合度 (HET)
杂合度有时也称为观察到的杂合度,简单来说就是杂合个体在观察到的总体中的比例。

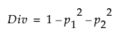
等位基因多样性
等位基因多样性有时也称为预期杂合度,它是 HWE 保持时数据集中杂合个体的预期比例。

HWE 的自由度
HWE 自由度使用公式
计算得到,其中 k 是为正在检验的给定标记发现的等位基因数量。
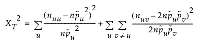
HWE 的卡方
在理想的总体条件下,个体分别从父母那里获得的两个等位基因是独立的,因此 Pii = p12,Pjj = p22 且 Pij = 2p1 p2(i 和 j = 0, 1, 2, …, k)。杂合子的因子 2 承认了 M1 / M2 和 M2 / M1 基因型通常不能区分的事实。这种有关基因座內等位基因独立性的说法被称为 Hardy-Weinberg 平衡 (HWE)。群体的选择、变异和迁移或非随机性交配等作用力会导致 HWE 偏离。卡方拟合优度检验可用于检验标记的 HWE(原假设为 Pii = p12,Pjj = p22 且 Pij =2p1 p2)是:

LD 的卡方 (ChiSQLD)
卡方统计量使用复合连锁不平衡 (CLD) 系数 (Weir 1979) 提供连锁不平衡的强度估计值。该方法不需要 HWE 的假设并且仅使用等位基因和双基因位基因型的频率。

对于双等位基因遗传标记,k 和 l = 2,并且该检验的自由度为 1。
复合 LD (D)
复合连锁不平衡 (CLD) 系数 (Weir 1979) 的测度不假定 HWE,记为:D12= p12 + p1/2 -2p1p2,其中:
‒ p12 是配子 M1 M2 的频率
‒ p1/2 是等位基因 M1 和 M2 在两个不同配子上的联合频率
‒ p1 和 p2 是等位基因 M1 和 M2 在两个基因座上的频率 [Weir 1996]
标准化复合 LD (D’)
D 与 Dmax 之比 (Zaykin, 2004)。

LD 相关性系数 (r)
指标变量的假定值从 -1 到 1 的相关性系数指示两个基因座是否存在。

P 值相关的测量
Hardy-Weinberg 平衡和/或连锁不平衡的卡方检验强度的 4 列 p 值相关测度(p 值、Logworth(log10 p 值)、FDR P 值(假发现率 p 值)和 FDR Logworth)。