发布日期: 03/04/2025

散点图

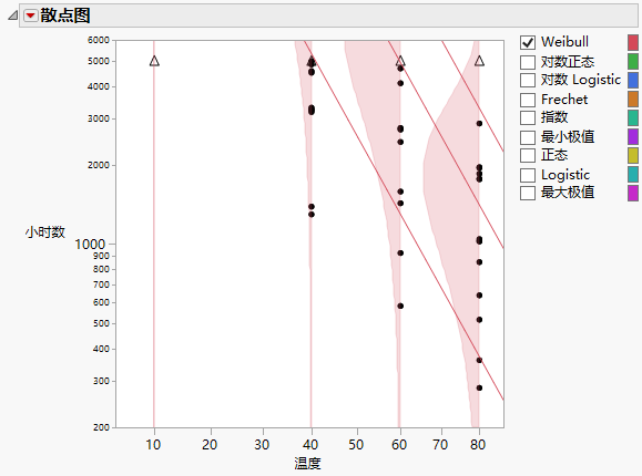
解释变量与寿命事件的散点图显示在“以 X 拟合寿命”报表的顶部。Table 4.2 指示如何在散点图中表示每种失效类型。要增大图上标记的大小,右击该图,先选择标记大小,再选择所列的一个标记大小。

图 4.5 “温度 - 小时数”散点图 

此处显示图片

表 4.2 失效和删失观测的散点图表示

事件

散点图表示

失效

右删失

向上的三角

左删失

向下的三角

区间删失

向下的三角落在向上的三角之上,二者通过一条实线连接

散点图选项

“散点图”红色小三角菜单包含以下选项:

添加密度曲线

支持您以指定的加速因子值将密度曲线添加到散点图中。最初,密度曲线对应于启动窗口中指定的“分布”。您可以随后使用散点图右侧的复选框为其他分布添加密度曲线。

删除多条密度曲线

显示之前指定的密度曲线值的列表。通过选中各个复选框删除对应的曲线。

显示多条密度曲线

显示或隐藏散点图中的指定密度曲线。

若指定连续 X 变量和连续“关系”,则将在 X 变量水平、使用条件值和“添加密度曲线”选项指定的任何值处显示密度曲线。

若您指定任何类型的非连续关系,则会为所有给定的解释变量水平显示密度曲线。若您指定“位置”或“位置和尺度关系”,在启动窗口中选定“嵌套模型检验”选项,或者指定了名义型 X 变量,则会显示非连续关系。

添加多条分位数线

支持您向散点图添加至多三条分位数线。要添加三条以上的分位数线,请再次选择该选项。默认分位数值为 0.1、0.5 和 0.9。无效的分位数值(如缺失值)将被忽略。要添加少于三条分位数线,请输入所需的分位数值并将其他条目留空。

显示分位数线置信区间带

显示或隐藏分位数线周围的置信区间。

设置分位数线置信区间带的水平

指定分位数线周围置信区间的置信水平。

删除多条分位数线

显示之前指定的分位数值的列表。通过选中适当的复选框来删除分位数线。

转置坐标轴

指定加速因子显示在垂直轴而不是水平轴上。

使用变换尺度

指定变换尺度用于散点图中的加速因子轴。该选项可在加速因子轴的线性尺度和非线性尺度之间切换。

Figure 4.5 显示了初始散点图;Figure 4.6 显示了选定“显示密度曲线”和“添加多条分位数线”选项后生成的散点图,其中显示了 Weibull 分布的各种温度水平下的曲线和分位数线。您还可以查看其他分布所有温度水平下的密度曲线。可以一次选定一个分布,也可以通过选中所需分布名称左侧的框来同时查看这些分布。

图 4.6 选定了密度曲线和分位数线选项的散点图 

此处显示图片

需要更多信息?有问题?从 JMP 用户社区得到解答 (community.jmp.com).