使用“Sigma 质量水平的质量分析器”探索缺陷数、缺陷的机会数和 Sigma 质量水平之间的关系。Sigma 质量水平是一个统计量,它将给定的缺陷率与 6 sigma 尺度关联起来。例如,每一百万个机会中,3.4 个缺陷的结果是 6 sigma 过程。选择实验设计 > 样本大小分析器 > 质量 > Sigma 质量水平。
该刻画器支持您直观演示样本大小假设对于 sigma 质量水平计算的影响。
对下列对象求解:
支持您求解机会数或缺陷数。
Sigma 质量水平
用标准差单位表示的缺陷率。
机会数
缺陷的机会数。
缺陷数
缺陷数。
“分析器”红色小三角菜单和报表按钮提供更多选项:
模拟数据
打开基于分析器设置的模拟数据的数据表。查看所用设置的模拟响应列公式。
制成数据收集表
创建可用于数据收集的新数据表。该表包含有助于数据分析的脚本。
保存设置
将当前设置保存至“已保存设置”表。这样您就可以保存一套备选研究计划。请参见样本大小分析器中的已保存设置。
重置为默认值
将所有参数和图形重置为其默认设置。
帮助
打开 JMP 联机帮助。
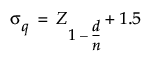
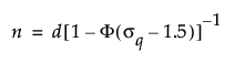
对于 n 次机会中的 d 个缺陷,sigma 质量计算器的计算基于 sigma 质量水平 sq 的定义:

从该定义中,可以按以下方式计算 d 和 n:


其中 F() 是标准正态累积分布函数,Z1-d/n 是标准正态分布的第 (1 - d/n) 分位数