本节包含有关传统控制图的“能力分析”报表中统计信息的计算的详细信息。
所有能力分析都使用相同的公式。选项之间的区别在于如何计算 sigma (s):
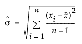
长期 Sigma
使用总 Sigma。该选项用于 Ppk 统计量,sigma 计算如下:

注意:默认情况下,“长期 Sigma”报表中的能力指标使用其他 Sigma 报表中使用的 Cp 标签。要使用“长期 Sigma”报表中的 Ppk 标签,请选择文件 > 首选项 > 平台 > 分布 > 添加 PpK 能力标签首选项。
控制图 Sigma
使用由控制图设置确定的 sigma。
‒ 若使用控制启动窗口中的“指定统计量”按钮指定 Sigma 的值,则指定的值将用于计算能力指标。
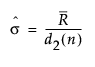
– 在使用“移动极差(平均值)”选项的单值极差图中,sigma 的值计算如下:

其中:
是移动极差的平均值。
d2(n) 是服从单位标准差正态分布的 n 个自变量的极差的期望值,其中 n 是“极差跨度”选项的值。
– 在使用“移动极差(平均值)”选项的单值极差图中,sigma 的值计算如下:

其中:
MMR 是非缺失移动极差的中位数。
d4(n) 是服从单位标准差正态分布的 n 个自变量的极差的中位数,其中 n 是“极差跨度”选项的值。
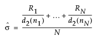
– 在使用 R 选项的均值图中,sigma 的值计算如下:

其中:
Ri = 第 i 个子组的极差
ni = 第 i 个子组的样本大小
d2(ni) = 服从单位标准差正态分布的 ni 个自变量的极差期望值
N = ni ≥ 2 的子组数
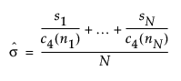
– 在使用 S 选项的均值图中,sigma 的值计算如下:

其中:
ni = 第 i 个子组的样本大小
c4(ni) = 服从单位标准差正态分布的 ni 个自变量的标准差期望值
N = ni ≥ 2 的子组数
si = 第 i 个子组的样本标准差
本节提供有关正态数据的能力指标计算的详细信息。
对于具有均值 m 和标准差 s 的过程特征,基于总体的能力指标定义如下:
Cp = 
Cpl = 
Cpu = 
Cpk = 
Cpm = 
其中:
LSL 是下规格限。
USL 是上规格限。
T 是目标值。
对于基于样本的能力指标,参数由其估计值替代。s 的估计值使用您在“能力分析”窗口中指定的方法。请参见变异统计量。
若任一规格限缺失,包含缺失规格限的能力指标将报告为缺失。
提示:能力指标 1.33 通常被视为可以接受的最小值。对于正态分布,能力指标 1.33 对应的是不合格品预期数为每 100,000 中有 6 个。
注意:能力指标的置信区间仅显示在“长期 Sigma”报表中。
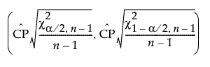
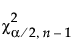
Cp 的 100(1 - a)% 置信区间计算如下:

其中:
是 Cp 的估计值。
是具有 n - 1 个自由度的卡方分布的第 (a/2) 分位数。
n 是观测数。
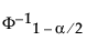
Cpk 的 100(1 - a)% 置信区间计算如下:

其中:
是 Cpk 的估计值。
是标准正态分布的第 (1 - a/2) 分位数。
n 是观测数。
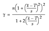
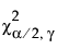
CPM 的 100(1 - a)% 置信区间计算如下:

其中:
是 CPM 的估计值。
是具有 g 个自由度的卡方分布的第 (a/2) 分位数。

n 是观测数。
是观测均值。
T 是目标值。
s 是长期 Sigma 估计值。
注意:仅当目标值位于下规格限和上规格限的中心时才计算 Cpm 的置信区间。
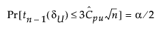
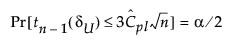
CPL 和 CPU 的上下置信限使用 Chou et al. (1990) 有关 T 统计量的说明。
CPL 的 100(1 - a)% 置信限(用 CPLL 和 CPLU 表示)满足以下方程:
其中 
其中 
其中:
tn-1(d) 服从有 n - 1 个自由度和非中心参数 d 的非中心 t 分布。
是 Cpl 的估计值。
CPU 的 100(1 - a)% 置信限(用 CPUL 和 CPUU 表示)满足以下方程:
其中 
其中 
其中:
tn-1(d) 服从有 n - 1 个自由度和非中心参数 d 的非中心 t 分布。
是 Cpu 的估计值。
本节说明如何为非正态分布计算能力指标。这些广义能力指标定义如下:
Cp = 
Cpk = 
Cpm = 
Cpl = 
Cpu = 
其中:
LSL 是下规格限。
USL 是上规格限。
T 是目标值。
Pα 是拟合分布的第 a*100 百分位数。
对于 Cpm 的计算,使用拟合分布的方差的预期值和平方根来估计 m 和 s。有关“参数估计值”报表中的参数与拟合分布的期望值和方差之间关系的详细信息,请参见《基本分析》中的连续拟合分布的统计详细信息和离散拟合分布的统计详细信息。
每个部分(低于下规格限、高于上规格限和规格外合计)的 Sigma 质量统计量计算如下:

其中:
Pct 是报表中“百分比”列中的值。
是标准正态分布的第 (1 - Pct/100) 分位数。
注意:尽管“低于下规格限的百分比”和“高于上规格限的百分比”加总为“规格外合计百分比”值,但“Sigma 质量低于下规格限”值和“Sigma 质量高于上规格限”值的计算结果之和不等于“Sigma 质量规格外合计”值。这是因为计算 Sigma 质量涉及查找正态分布分位数,因此不是相加得到的。
基准 Z 统计量仅适用于基于正态分布的能力分析。基准 Z 统计量计算如下:
Z 基准 = 
Z 下规格限 =
= 3 * Cpl
Z 上规格限 =
= 3 * Cpu
其中:
LSL 是下规格限。
USL 是上规格限。
m 是样本均值。
s 是样本标准差。
F-11 - P(LSL) - P(USL) 是标准正态分布的第 (1 - P(LSL) -P(USL)) 分位数。
P(LSL) = 概率(X < LSL) = 1 - F(Z 下规格限)。
P(USL) = 概率(X > USL) = 1 - F(Z 上规格限)。
F 是标准正态累积分布函数。