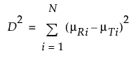
本节包含计算“拟合曲线”平台中无模型溶出分析中使用的因子的公式。这些公式使用以下符号:
μRi 是参考曲线批次在时间点 ti 处的溶出值的均值
μTi 是检验曲线批次在时间点 ti 处的溶出值的均值
i = 1, ..., N 是时间点数量
F1 差值因子测量每个时间点参照药片曲线与检验药片曲线之间的百分比差值。使用以下公式计算 F1:

F2 相似性因子测量参照药片曲线与检验药片曲线之间的溶出度百分比相似性。使用以下公式计算 F2 (Paixão et al. 2017):

其中:

p 是时间点数目
Mahalanobis 距离 M 测量参照药片曲线与检验药片曲线之间的多元距离。使用以下公式计算 M (Paixão et al. 2017):

其中:
R = [μR1,...,μRN]T
T = [μT1,...,μTN]T
Spooled = (SR + ST)/2
SR = 参考曲线值的协方差矩阵
ST = 检验曲线值的协方差矩阵
使用以下公式计算 10% 最大化差值:

其中,m 是 10 的 Nx1 向量。
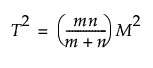
检验统计量 T2(用于 Wellek T2EQ 方法)使用如Mahalanobis 距离中所计算的 Mahalanobis 距离 M。

其中:
m = 参照药片的曲线数
n = 检验药片的曲线数
M = Mahalanobis 距离
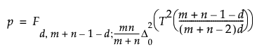
该检验统计量服从非中心 F 分布。使用以下公式计算该检验统计量的 p 值 (Hoffelder 2019):

其中:
Fs1, s2; nc(x) 是非中心 F 分布的累积密度函数
d = 研究中时间点的数量
D20 = 差异幅度
该公式使用差异幅度 10。