有关“极差图”中使用的限值计算的详细信息,请参见均值图和 R 图的统计详细信息。有关“标准差图”中使用的限值计算的详细信息,请参见均值图和 S 图的统计详细信息。
本节包含有关“测量系统分析”平台中的统计量的计算详细信息。
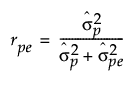
按以下方式计算不带偏倚的组间相关:

按以下方式计算带偏倚的组间相关:

按以下方式计算带偏倚和交互作用因子的组间相关:

按以下方式计算概差:

请注意以下事项:
= 纯误差的方差估计值
= 产品的方差估计值
= 偏倚因子的方差估计值
= 交互作用因子的方差估计值
Z0.75 = 标准正态分布的 75% 分位数