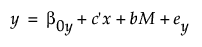
本节说明在中介分析中用于结果变量 (y) 和中介变量 (M) 的线性方程组。预测变量 (x) 和中介变量 (M) 以及预测变量 (x) 和结果 (y) 之间的关系可表示为:


第一个方程显示预测变量 (x) 对中介变量 (M) 的效应。对于预测变量 (x) 每一个单位的增长,中介变量 (M) 都预计增长 a 个单位。第二个方程表明:对于中介变量 (M) 上相同的两个观测,一个观测的预测变量 (x) 的较高值预计在结果 (y) 上产生 c' 个单位的变化。若间接效应 (c') 显示一个正值,则预测变量 (x) 增长时,结果 (y) 也可能随之增长。另一方面,若该效应为负,则预测变量(x) 的增长可能会导致结果 (y) 的下降。
这些方程提供了在中介分析上下文中衡量直接和间接效应的基本框架。可总结如下:



在该方案中,以下条件均成立:
b0y + bb0M 是新截距。
c' + ab 是新斜率。这一新斜率被称为总效应 (c) 并且由直接效应 (c') 和间接效应 (ab) 构成。
beM + ey 是新的误差项。
总效应可定义如下:
总效应 (c) = 直接效应 (c') + 间接效应 (ab)
