本节包含“模型驱动的多元控制图”平台中的监控统计量的计算。
每个 i 观测的
值都绘制在 T2 控制图上。对于历史和当前数据,具有 k 个成分的 PCA 或 PLS 模型的 T2 值定义如下:

其中:
ti = 第 i 个观测的 k 得分的向量
Sk = 历史观测的 k 得分的对角线样本协方差矩阵
对于 PCA 模型,Sk 是对角线特征值矩阵。
当数据在数据预处理步骤中已中心化时,k 个历史得分向量的均值为 0。该步骤发生在基于相关性或协方差的 PCA 以及进行中心化的 PLS 中。对于 X 未中心化的预处理选项,则假设数据已经由用户中心化,所以每个 k 得分向量的均值为 0。有关 Hotelling’s T2 的详细信息,请参见 Montgomery (2013)。
对于 PCA 和 PLS 模型,预处理的 X 矩阵可分解为:

其中,Tk = (t1,...,tk) 是 k 维得分矩阵,Pk = (p1,...,pk) 对于 PCA 模型是具有前 k 个特征向量的矩阵,而对于 PLS 模型是载荷矩阵。该 PCA 或 PLS 模型的平方预测误差用于 SPE 控制图。
每个 i 观测的 SPEi 值都绘制在 SPE 控制图上。平方预测误差定义为:

其中
ei = 观测 i 的残差向量
p = 变量数
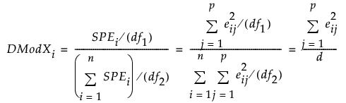
每个 i 观测的 DModXi 值都绘制在 DModX 控制图上。与模型的标准化距离 (DModX) 定义为:

其中
eij = 观测 i 和变量 j 的残差
df1 = p−k
df2 = (n−k−1)(p−k)(若数据已中心化);或为 (n−k)(p−k)(若数据未中心化)
n = 历史数据观测数
k = PCA/PLS 成分数
p = 变量数
注意:DModXi 等于以 1/d 为尺度的 SPEi。