在“主成分”平台中,“离群值分析”报表中的计算使用以下符号:
n = 观测数
A = 主成分数
Xci = 第 i 个观测的标准化数据
按以下方式计算第 i 个观测的 T2 统计量:

其中,PA 是包含第一个 A 特征向量的矩阵,L 是包含第一个 A 特征值的对角线矩阵。
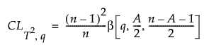
T2 图的中位数和上控制限计算如下:

其中
Beta
分布的第 q 分位数
要计算中位数,请使用 q = 0.5。要计算上控制限,请使用 q = (1 - a)。
有关贡献统计量的信息,请参见《质量和过程方法》中的贡献的统计详细信息。