重复协方差结构的统计详细信息本节给出“拟合模型”平台的“混合模型”特质中的以下协方差结构的参数化:
不等方差协方差结构
在此,在时间 j 获取的观测值之间的方差为:

允许重复列各水平的方差有所不同。不同水平的观测之间的协方差为零。
非结构化协方差结构
在此,在时间 j 获取的观测值之间的方差为:

在时间 j 和 j′ 获取的观测值之间的协方差为:

允许重复列各水平的方差有所不同。不同水平的观测之间的协方差是唯一的。
复合对称性协方差结构在 JMP 中使用具有独立误差的混合模型方法来实现复合对称性协方差结构。随机效应分为两个类别:G 侧或 R 侧。详细信息,请参见 Searle et al.(1992)。
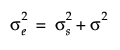
G 侧随机效应与随机效应的设计矩阵关联。R 侧随机效应与剩余误差关联。对象内方差是设计结构的一部分,在 G 侧进行建模。对象间方差属于残差结构,在 R 侧进行建模。独立结构中的方差按如下方式建模:
• 通过 sik ~ iid N(0, ss2) 对随机效应 G 侧方差建模。
• 通过 eijk ~ iid N(0, s 2) 对 R 侧方差建模。
则协方差矩阵定义如下:

其中 J 是包含 1 的矩阵,I 是单位矩阵。
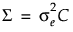
或者,可以在 R 侧对所有方差建模。在高斯假定下,该复合对称性协方差结构等价于独立模型(SAS 中的 Type=CS )。在 JMP 中,通过使用“重复结构”选项卡中的“复合对称性”结构来提供该结构。在这里,重复观测对之间的相关性相同,而与观测之间的时间差值无关。因此,相关性矩阵可以指定如下:

在 JMP 中使用“复合对称性”结构也假定对于任何时间点取的观测之间存在公共方差
。则协方差结构为
,其中

且
.
在这里,ρ 是组内相关系数,
为残差方差。另一选项是在 JMP 中使用“复合对称性不等方差”结构,该结构允许方差随时间点变化。这导致以下协方差矩阵:

AR(1) 协方差结构
在此,tj 是观测值 j 的时间。在该结构中,在任意给定时间取的观测具有相同方差 s2。参数 r(其中 -1 < r < 1)是相隔一个时间单元的两个观测之间的相关性。随着观测值之间的时间差异增大,其协方差会下降,因为 r 上升到更高次幂。在很多应用中,AR(1) 提供对象内相关性的适当模型,提供更高功效而不会降低对第一类错误的控制。
Toeplitz 协方差结构在 Toeplitz 结构中,用固定的时间单位数分隔的观测具有相同的相关性。对比 AR(1) 相关性结构,固定时间差值处的 Toeplitz 相关性是任意的。用 rd 表示相隔 d 个单元的观测的相关性。相关性矩阵定义如下:

JMP 中的两个选项使用该相关性矩阵:
• Toeplitz 结构对于来自任意时间点的观测假定有公共方差 s2。协方差结构为
。
• 或者,“Toeplitz 不等方差”结构允许方差随时间点变化:

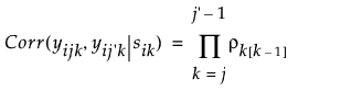
事前相关协方差结构事前相关模型是一种灵活的常规模型,允许相关性结构随时间变化。在该模型中,相邻时间点 j - 1 和 j 处的两个观测之间的相关性是唯一的,将其表示为 rj[j−1]。
非相邻时间点 j 和 j′ 处的观测对之间的相关性为这两点之间所有相邻相关性之积。

例如,时间点 j=2 和 j′=6 处的观测对之间的相关性将为 r21r32r43r54。
相关性矩阵定义如下:

JMP 中的两个选项使用该相关性矩阵:
• “事前相关相等方差”结构假定观测时间上的方差相等,但仍允许相关性有变化。任意时间处的观测之间的方差为 s2,协方差矩阵为
。
• 事前相关结构允许任何给定时间处的观测之间的方差各不相同。将时间 j 处的观测之间的方差表示为
,则协方差矩阵定义如下:
