已保存的概率公式的统计详细信息本节说明使用“朴素 Bayes”红色小三角菜单中的“保存概率公式”选项保存的公式。具有预测变量值 x1, x2, …, xp 的观测属于 Ck 类的条件概率与 P(Ck|(x1,..., xp)) 给出的概率(显示在朴素 Bayes 算法的统计详细信息一节中)稍有不同。这样做是为了提高计算效率。
给定类 Ck, S(Ck) 的朴素得分公式是 P(Ck|(x1,..., xp)) 的表达式中分子的变化形式,该公式计算如下:
S(Ck) = exp[ln{P(Ck)} + 连续 + 分类 + ln(R)]
朴素得分公式是分类预测变量与连续预测变量的得分的组合。回想一下,R 是正则化常数。公式的连续型对应部分计算如下:
连续 = 
其中
j = 1,..., p1 个连续预测变量。
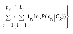
公式的分类对应部分计算如下:
分类 = 
其中
r= 1,...,p2 个分类变量
第 r 个分类变量的 l = 1,..., Lr 个水平
1rl 是一个指标变量,该变量在 xrl 是第 r 个分类预测变量的第 l 个水平时等于 1,其他情况下等于 0。
朴素得分和公式 S 对所有类的朴素得分公式求和。这是 P(Ck|(x1,..., xp)) 的表达式中分母的变化形式。

给定类 Ck 的朴素概率公式等于 P(Ck|(x1,..., xp))。在 JMP 公式中,

某观测的朴素预测公式将该观测归入 P(Ck|(x1,..., xp)) 最大的类。这等价于将观测归入其朴素得分公式最大的类。