对于非区间删失的数据,“生存”平台报表的初始部分显示“汇总”和“分位数”数据。“汇总”部分显示每个组(存在组的情况下)和整个研究的失效数以及删失观测数。还针对删失调整了均值和标准差。有关这些统计量的计算详细信息,请参见 SAS Institute Inc. (2020) 中的“LIFETEST 过程”一章。(2023)。
“分位数”部分显示单个组和合并组的失效时间统计量,其中包括中位数生存时间(带 95% 置信上限和置信下限)。中位数生存时间是一半对象失效时的时间(天数)。还包括四分位数生存时间(25% 和 75%)。
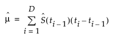
图 14.15 一元生存分析的汇总统计量
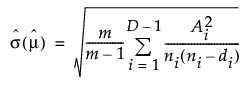
“汇总”报表给出生存时间均值的估计值以及该均值的标准误差。估计的生存时间均值定义如下:
其标准误差为 
其中



是时间 ti 处的生存分布
D 是不同的事件时间数
ni 是恰好在 ti 前的生存单元数
di 是在 ti 处失效的单元数
t0 定义为 0
有多个组时,“组间检验”表会提供各组的齐性统计检验。Kalbfleisch and Prentice (1980, ch. 1)、Hosmer and Lemeshow (1999, ch. 2) 以及 Klein and Moeschberger (1997, ch. 7) 讨论了生存曲线的统计学和比较。
图 14.16 组间检验
检验
统计检验,它们假设生存函数在不同组之间是相同的。
卡方
统计检验的卡方近似。
对数秩检验赋予较大生存时间更大的权重,当要比较的组中的危险率函数之比近似为常数时,它会更加有用。危险率函数是给定时间处的瞬间失效率。它也称为死亡率或死亡力。
Wilcoxon 检验赋予前期生存时间更大的权重,若误差分布为 Logistic 分布,则该检验是最佳秩检验。请参见 Kalbfleisch and Prentice (1980)。
自由度
统计检验的自由度。
概率>卡方
当生存函数对于所有组相同时,得到卡方值大于计算值的概率。
Figure 14.17 显示了一个组的乘积限生存函数估计值的示例。
图 14.17 “生存估计值”表的示例
注意:记录的最后时间是删失观测时,该报表会指示有偏均值估计值。有偏均值估计值是真实均值的下限。