多元方法
>
判别分析
>
“判别”平台的统计详细信息
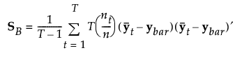
> 组间协方差矩阵的统计详细信息
发布日期: 03/04/2025
组间协方差矩阵的统计详细信息
使用
Table 5.2
中的符号,“判别”平台中的组间协方差矩阵定义如下:
需要更多信息?有问题?从 JMP 用户社区得到解答
(community.jmp.com)
.
本网站在启用 JavaScript 的情况下效果最佳。