发布日期: 03/04/2025

确定性筛选设计的结构

Figure 8.21 显示了确定性设计的示例,其中有八个连续因子和四个对应于假因子的额外试验。请注意以下情况:

每一对行都是一个折叠对;每个偶数行的值都是上一行乘以 -1。设计的折叠特性去除了双因子交互作用与主效应的混杂。

设置中每个因子都有三次试验取中心值;这种设置与设计的构造一起令所有二次效应都可估计。

行 17 到 20 是对应于假因子的额外试验。

在最后一行中添加中心试验,这样您就可以拟合包含截距以及所有主效应和二次效应的模型。

该结构对于包含连续因子的确定性筛选设计很典型。

图 8.21 针对八个连续因子的确定性筛选设计 

此处显示图片

会议矩阵和试验次数

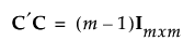
JMP 中的确定性筛选设计是使用会议矩阵 (Xiao et al., 2012)构造的。会议矩阵是一个 m x m 矩阵 C,其中,m 是偶数。矩阵 C 在对角线上具有 0 值,非对角线元素等于 1–1,并且满足

此处显示图片

注意:对于 m 的特定偶数值,是否存在会议矩阵尚未知晓。

假定因子数 k 为 5 或更大的数字。对于 k ≤ 4 个因子的情况,请参见四个或四个以下因子的确定性筛选设计

考虑 k 个连续因子的情况,并假定存在会议矩阵。

k 为偶数,k x k 会议矩阵用来定义设计的 k 次试验。其负值 –C 则定义折叠试验。向设计添加了一个中心点以确保包含截距、主效应和二次效应的模型可估计。所以,对于 k 为偶数的情况,确定性筛选设计中的最小试验次数为 2k + 1

k 为奇数,将使用 (k+1) x (k+1) 会议矩阵,并删除其末列。添加了一个中心点。所以,对于 k 为奇数的情况,确定性筛选设计中的最小试验次数为 2k + 3

在某些因子为分类因子并且存在会议矩阵的情况下,会使用相似的过程。请参见 Jones and Nachtsheim (2013)。

需要添加两个额外试验,而不是一个中心点。这两次试验是中心试验,其中所有连续因子都设置为其中间值。

若有 k 个因子且 k 为偶数,设计中的试验次数为 2k + 2

k 为奇数,试验次数为 2k + 4

对于会议矩阵不可用的那些 m 值,可使用下一个最大的会议矩阵构造确定性筛选设计。因此,所需的试验次数可能超过 2k + 3(对于连续因子的情况),或超过 2k + 4(对于分类因子的情况)。

额外试验

使用虚构的或因子构造额外试验。向设计中添加 f 个假因子可生成 2f 个额外试验。

k 表示实验研究中的因子数。可以在设计中添加四到八个额外试验。通过为 k + f 个因子创建设计来构造额外试验(如会议矩阵和试验次数中所述),然后删除后 f 列。仅仅四个额外试验就会对模型选择大有益处。

有关如何使用额外试验的信息,请参见DSD 的有效模型选择

四个或四个以下因子的确定性筛选设计

四个或四个以下因子的确定性筛选设计是使用五因子确定性筛选设计为基础构造的。这是因为严格根据会议矩阵法构造 k ≤ 4 个因子的设计具有不理想的属性。特别是很难分隔二阶效应。

若指定 k ≤ 4 个因子,则会构造针对五个因子的确定性筛选设计并删除不必要的列。因此,包含 k ≤ 4 个因子的不分区组设计的试验次数为 13(若所有因子都是连续因子)或 14(若部分因子为分类因子)。

需要更多信息?有问题?从 JMP 用户社区得到解答 (community.jmp.com).