“累积损坏”启动窗口中的“事件时间”面板包含以下选项:
事件时间
标识事件时间(如,失效时间)或删失时间。对于区间删失,您的数据表应包含两列,分别提供每个单元的失效时间的下限和上限。输入两个删失列作为“事件时间”。有关删失的详细信息,请参见事件图。
删失
标识右删失观测。从“选择列”列表下方的“删失代码”菜单中选择用于标识右删失观测的值。仅当输入一个 Y 时才使用“删失”列。
频数
标识有多个单元时的频数或观测计数。若值为 0 或正整数,则这个值表示具有给定行设置的频数或观测计数。
模式 ID
包含的值用于指定“应力模式”数据表中用于给定行的应力模式。
删失代码
标识“删失”列中指定右删失观测的值。选定某个“删失”列后,JMP 会尝试自动检测删失代码并在框中显示该代码。要对此进行更改,您可以点击红色小三角并从值列表中进行选择。您还可以在框中输入不同值。若“删失”列包含“值标签”列属性,值标签将显示在值列表中。缺失值会从分析中排除。
关系
标识事件与应力因子之间的关系。Table 5.1 定义每种关系的模型。
|
关系 |
模型 |
|---|---|
|
Arrhenius 摄氏温度 |
μ = b0 + b1 * 11604.5181215503 / ( X + 273.15 ) |
|
Arrhenius 华氏温度 |
μ = b0 + b1 * 11604.5181215503 / ( ( X + 459.67 ) / 1.8 ) |
|
Arrhenius 绝对温度 |
μ = b0 + b1 * 11604.5181215503 / X |
|
逆幂(默认) |
μ = b0 + b1 * log(X) |
|
线性 |
μ = b0 + b1 * X |
|
对数 |
μ = b0 + b1 * log(X) |
|
Logit |
μ = b0 + b1 * log( X / ( 1 - X ) ) |
|
倒数 |
μ = b0 + b1 / X |
|
平方根 |
μ = b0 + b1 * sqrt(X) |
|
Box-Cox |
μ = b0 + b1 * BoxCox(X) |
|
定制 |
用户定义(仅在“步进应力”面板中可用。) |
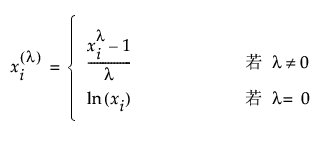
BoxCox(X) 变换定义如下:

若选择定制,则出现更多控件,要求您通过定义“定制”变换对寿命事件和应力因子之间的关系建模。
若想要对模型使用“定制”关系,请参见定制关系。
分布
指定初始的失效时间分布。从 Weibull、Lognormal、Loglogistic、Fréchet 或“指数”中进行选择。Weibull 是默认设置。有关分布的详细信息,请参见分布的统计详细信息。