JMP 14.2 联机文档
发现 JMP
使用 JMP
基本分析
基本绘图
刻画器指南
实验设计指南
拟合线性模型
预测和专业建模
多元方法
质量和过程方法
可靠性和生存方法
消费者研究
Scripting Guide
JSL Syntax Reference
该帮助的版本不再更新,请参见
https://www.jmp.com/support/help/zh-cn/15.2
获取最新的版本.
基本分析
•
分布
•
“分布”平台的统计详细信息
• 汇总统计量
上一个
•
下一个
汇总统计量
本节包含“汇总统计量”报表中的特定统计量的统计详细信息。
均值
均值是非缺失值总和除以非缺失值个数所得的值。若指定了
权重
或
频数
变量,JMP 按如下方法计算均值:
1.
每个列值均乘以其相应的权重或频数。
2.
将这些值相加后再除以权重和或频数和。
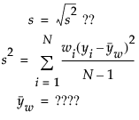
标准差
标准差测量分布在均值附近的散布程度。经常表示为
s
,并且是样本方差(表示为
s
2
)的平方根。
均值标准误差
均值标准误差通过样本标准差 (
s
) 除以
N
的平方根计算得出。在启动窗口中,若指定了“权重”或“频数”列,则分母为权重和或频数和的平方根。
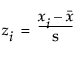
偏度
偏度基于均值的三阶矩,计算如下:
其中
w
i
是权重项(= 1 即表示各项权重相同)
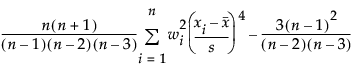
峰度
峰度基于均值的四阶矩,计算如下:
其中
w
i
是权重项(= 1 即表示各项权重相同)。使用该公式,正态分布的峰度为 0。该公式经常称为超值峰度。