JMP 14.2 联机文档
发现 JMP
使用 JMP
基本分析
基本绘图
刻画器指南
实验设计指南
拟合线性模型
预测和专业建模
多元方法
质量和过程方法
可靠性和生存方法
消费者研究
Scripting Guide
JSL Syntax Reference
该帮助的版本不再更新,请参见
https://www.jmp.com/support/help/zh-cn/15.2
获取最新的版本.
基本分析
•
分布
•
“分布”平台的统计详细信息
• 正态分位数图
上一个
•
下一个
正态分位数图
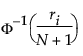
每个值的经验累积概率计算如下:
其中,
r
i
是第
i
个观测的秩,
N
是非缺失(且未排除)观测的个数。
正态分位数值计算如下:
其中
Φ
是正态分布的累积概率分布函数。
这些正态分位数值是对正态分布应有的次序统计量的 Van Der Waerden 近似。