JMP 14.2 联机文档
发现 JMP
使用 JMP
基本分析
基本绘图
刻画器指南
实验设计指南
拟合线性模型
预测和专业建模
多元方法
质量和过程方法
可靠性和生存方法
消费者研究
Scripting Guide
JSL Syntax Reference
该帮助的版本不再更新,请参见
https://www.jmp.com/support/help/zh-cn/15.2
获取最新的版本.
基本分析
•
分布
•
“分布”平台的统计详细信息
• 标准差检验
上一个
•
下一个
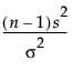
标准差检验
以下是计算该检验统计量的公式:
当总体服从正态分布时,该检验统计量呈现自由度为
n
- 1 的卡方变量的分布。
最小 p 值是双侧检验的
p
值,计算如下:
2*min(p1,p2)
其中,p1 是单尾
p
值下限,p2 是单尾
p
值上限。