该帮助的版本不再更新,请参见https://www.jmp.com/support/help/zh-cn/15.2 获取最新的版本.


对于 m 个将来观测:
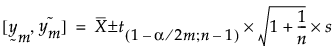
对于 m 个将来观测的均值:
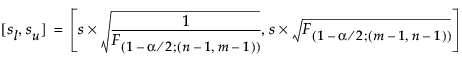
对于 m 个将来观测的标准差:
其中,m = 将来观测数,n = 当前分析样本中的点数。
通过在分位数函数中使用 1-α 可形成单侧区间。