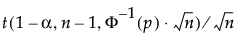
t 是非中心 t 分布的分位数。
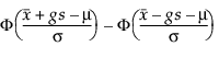
s = 标准差且
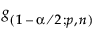
是常数。
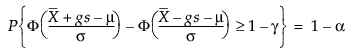
是常数。其中,1-γ 是容差区间中包含的全部将来观测的比例。
详细信息,请参见 Meeker et al. (2017) 中的表 J.1a、J.1b、J.6a 和 J.6b。
有关非参数容差区间的计算的详细信息,请参见 Meeker et al. (2017, sec. 5.3)。


= 
是标准正态分位数。

