注意:默认情况下,“长期 Sigma”报表中的能力指标使用其他 Sigma 报表中使用的 Cp 标签。要使用“长期 Sigma”报表中的 Ppk 标签,请选择文件 > 首选项 > 平台 > 分布 > 添加 PpK 能力标签首选项。
LSL 是下规格限。
USL 是上规格限。
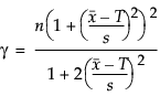
T 是目标值。
Cp 的 100(1 - α)% 置信区间计算如下:
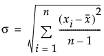
n 是观测数。
Cpk 的 100(1 - α)% 置信区间计算如下:
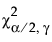
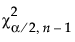
是标准正态分布的第 (1 - α/2) 分位数。n 是观测数。
CPM 的 100(1 - α)% 置信区间计算如下:
n 是观测数。
T 是目标值。
s 是长期 Sigma 估计值。
LSL 是下规格限。
USL 是上规格限。
T 是目标值。
LSL 是下规格限。
USL 是上规格限。
μ 是样本均值。
σ 是样本标准差。
Φ 是标准正态累积分布函数。
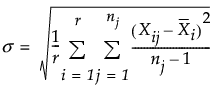
统计量,Sigma 计算如下:

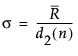
是移动极差的平均值。
其中






是 Cp 的估计值。
是具有 
是 Cpk 的估计值。
是 CPM 的估计值。
是具有 
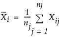
是观测均值。
其中
其中
是 Cpl 的估计值。
其中
其中
是 Cpu 的估计值。





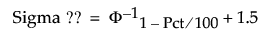
是标准正态分布的第 (1 - Pct/100) 分位数。
= 3 * Cpl
= 3 * Cpu
是标准正态分布的第 (1 -