Poisson 分布只有一个尺度参数 λ > 0。
pmf:
; x = 0,1,2,...
; x = 0,1,2,...该分布对于以下情况很有用:数据是多个 Poisson(μ) 分布的组合,每个 Poisson(μ) 分布都具有不同的 μ。从多个十字路口组合而来的事故总数就是这样的例子,此时事故数均值 (μ) 在不同十字路口之间是不同的。
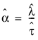
Gamma Poisson 分布的假设前提是:x|μ 服从 Poisson 分布,μ 服从 Gamma(α,τ) 分布。Gamma Poisson 包含参数 λ = ατ 和 σ = τ+1。参数 σ 是一个离散参数。若 σ > 1,则出现过度离散,这意味着 x 的变异比 Poisson 分布本身所解释的要大。若 σ = 1,x 将简化为 Poisson(λ)。
pmf:
;
; x = 0,1,2,...
;
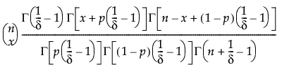
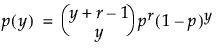
; x = 0,1,2,...若 α 的估计值为整数,则 Gamma Poisson 等价于负二项分布,pmf 如下:
运行 JMP Samples/Scripts 文件夹中的 demoGammaPoisson.jsl,比较带有参数 λ 和 σ 的 Gamma Poisson 分布与带有参数 λ 的 Poisson 分布。
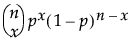
二项选项接受两种格式的数据:常数样本大小或包含样本大小的列。
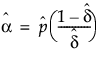
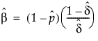
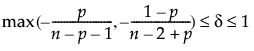
Beta 二项分布的假设前提是:x|π 服从 Binomial(n,π) 分布,π 服从 Beta(α,β) 分布。Beta 二项分布具有参数 p = α/(α+β) 和 δ = 1/(α+β+1)。参数 δ 是一个离散参数。若 δ > 0,则出现过度离散,这意味着 x 的变异比二项分布本身所解释的要大。若 δ < 0,则出现离散不足。若 δ = 0,x 呈 Binomial(n,p) 分布。仅当
才存在 Beta 二项分布。
才存在 Beta 二项分布。请记住 x|π ~ Binomial(n,π),同时 π ~ Beta(α,β)。参数 p = α/(α+β) 和 δ = 1/(α+β+1) 由该平台估计得出。要得到 α 和 β 的估计值,请使用以下公式:
是 Gamma 函数。

是
(
)
; 
;
;
是 Gamma 函数。

是 p 的估计值。