正态拟合选项估计正态分布的参数。正态分布通常用于针对对称且多数值位于曲线中间的测量值建模。对任意一组数据选择正态拟合,然后检验正态分布对您数据的拟合程度。
|
•
|
μ(均值)定义分布在 x 轴上所处的位置
|
|
•
|
σ(标准差)定义分布的离散或散布程度
|
pdf:
;
; 0 < σ
;
; 0 < σWeibull 选项将阈值参数 (θ) 设置为零。有阈值的 Weibull 选项,使用最小观测的值估计阈值参数 (θ),使用其余观测估计 α 和 β。若了解应该如何设置阈值,请使用固定参数选项设置该阈值。请参见“拟合分布”选项。
注意:“分布”平台对于“有阈值的 Weibull”分布中的阈值参数使用与“寿命分布”平台不同的估计方法。推荐使用“寿命分布”估计方法拟合该分布。请参见《可靠性和生存方法》手册中的““寿命分布”平台的统计详细信息” 。
Devore (1995) 提出指数分布是无记忆的。无记忆意味着若您在 t 小时后检查某个部件,而该部件仍然在运转,此时附加寿命时间的分布(该部件一直存活到 t 时刻情形下的附加寿命的条件概率)与原始分布相同。
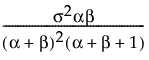
Gamma 拟合选项估计 gamma 分布参数,α > 0 且 σ > 0。参数 α(在拟合 gamma 报表中称为 alpha)描述形状或曲率。参数 σ(称为 Sigma)是分布的尺度参数。第三个参数 θ(称为阈值)是下端点参数。除非有负值,否则默认情况下该参数设置为零。您还可以通过使用固定参数选项设置其值。请参见“拟合分布”选项。
|
•
|
|
•
|
|
•
|
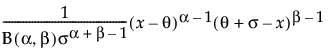
标准 Beta 分布适用于对限制在 0,1 区间内的随机变量的行为建模。例如,比例总是介于 0 和 1 之间。Beta 拟合选项估计两个形状参数:α > 0 且 β > 0。另外还有 θ 和 σ,用于将阈值下限定义为 θ,将阈值上限定义为 θ + σ。beta 分布仅包含区间
内的值。θ 估计为最小值,σ 估计为极差。当 θ = 0 且 σ = 1 时呈标准 beta 分布。
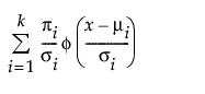
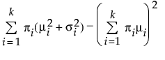
内的值。θ 估计为最小值,σ 估计为极差。当 θ = 0 且 σ = 1 时呈标准 beta 分布。“正态混合”选项拟合混合的正态分布。这种灵活分布能够拟合多模态数据。
平滑曲线选项使用非参数密度估计(核密度估计)拟合平滑曲线。平滑曲线叠加在直方图上,该图下方会出现一个滑块。通过使用滑块更改核心标准差来控制平滑度。初始核心标准差估计值基于数据的标准差计算得出。
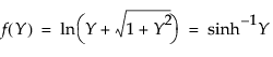
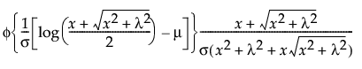
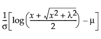
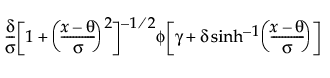
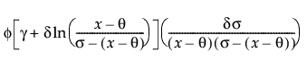
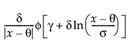
SHASH 选项拟合 sinh-arcsinh (SHASH) 分布。SHASH 分布基于变换了的正态分布,它将正态分布作为特例包括在内。该分布可以对称也可以非对称。形状由两个形状参数 γ 和 δ 决定。有关 SHASH 分布的详细信息,请参见 Jones and Pewsey (2009)。
|
•
|
|
‒
|
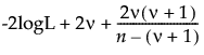
n 是样本大小。
|
|
‒
|
ν 是参数个数。
|
且
时,呈标准正态分布。“参数估计值”表显示使用 95% 的置信上限和置信下限时,
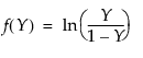
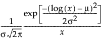
服从正态分布时,变量 Y 服从对数正态分布。数据必须大于零。
;
; 0 < 




是 Gamma 函数。
0 < 
; 0 <
分布。
时,标准 gamma 密度函数严格递减。当
时,密度函数从零开始,递增至最大值,然后递减。
; 0 < 

是 Beta 函数。


是标准正态 pdf。




。

; 0 <
是标准正态 pdf。
; 0 < 
~ N(0,1),则 