JMP 14.2 联机文档
发现 JMP
使用 JMP
基本分析
基本绘图
刻画器指南
实验设计指南
拟合线性模型
预测和专业建模
多元方法
质量和过程方法
可靠性和生存方法
消费者研究
Scripting Guide
JSL Syntax Reference
该帮助的版本不再更新,请参见
https://www.jmp.com/support/help/zh-cn/15.2
获取最新的版本.
基本分析
•
单因子分析
•
“单因子”平台的统计详细信息
• 功效
上一个
•
下一个
功效
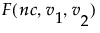
您利用非中心
F
分布来计算功效。公式 (O’Brien and Lohr
1984
) 如下所示:
功效 = 概率(
F
>
F
crit
,
ν
1
,
ν
2
,
nc
)
其中:
F
服从非中心
分布,
是
F
分布的 1 -
α
分位数,该分布的自由度为
ν
1
和
ν
2
。
ν
1
=
r
-1 是分子自由度。
ν
2
=
r
(
n
-1) 是分母自由度。
n
是每个组的观测数。
r
是组数。
nc
=
n
(
CSS
)/
σ
2
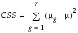
是非中心参数。
是校正的平方和。
μ
g
是第
g
个组的均值。
μ
是总体均值。
σ
2
根据均方误差 (MSE) 来估计。