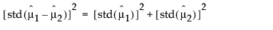
这些平方值构成了勾股定理关系,图 6.44中所示的直角三角形对此进行了说明。
图 6.44 两个均值之间的差值的关系
图 6.45 t 检验统计量的几何关系
|
•
|
同样的图形方法适用于很多多重比较检验,用 Student t 的不同概率分位数值替代即可。





。