JMP 14.2 联机文档
发现 JMP
使用 JMP
基本分析
基本绘图
刻画器指南
实验设计指南
拟合线性模型
预测和专业建模
多元方法
质量和过程方法
可靠性和生存方法
消费者研究
Scripting Guide
JSL Syntax Reference
该帮助的版本不再更新,请参见
https://www.jmp.com/support/help/zh-cn/15.2
获取最新的版本.
基本分析
•
单因子分析
•
“单因子”平台的统计详细信息
• 等方差检验
上一个
•
下一个
等方差检验
F 比
O
’Brien 检验构造了一个因变量,使得新变量的组均值等于原始响应的组样本方差。O’Brien 变量的计算公式为:
其中
n
表示
y
ijk
观测数。
Brown-Forsythe 是来自对
进行方差分析的模型
F
统计量,其中
是第
i
个水平的响应中位数。
Levene
F
是来自对
进行方差分析的模型
F
统计量,其中
是第
i
个水平的响应均值。
Bartlett 检验的计算公式如下:
其中
,
n
i
是第
i
个水平的计数,
s
i
2
是第
i
个水平的响应样本方差。Bartlett 统计量服从
χ
2
分布。将卡方检验统计量除以自由度得到报告的
F
值。
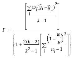
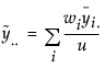
Welch 检验 F 比
Welch 检验 F 比的计算公式如下:
其中
,
,
,
n
i
是第
i
个水平的计数,
是第
i
个水平的响应均值,
s
i
2
是第
i
个水平的响应样本方差。
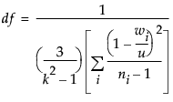
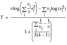
Welch 检验分母自由度
Welch 近似分母自由度计算公式如下:
其中
w
i
、
n
i
和
u
定义同
F
比公式。