X 的水平,其中,k 为水平总数。
X 的 k 个水平中每个水平的观测数。
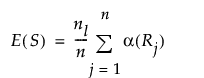
Rj
分区组变量的水平,其中,B 是区组总数。
Rbi
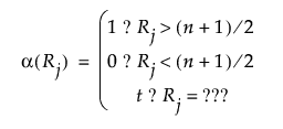
函数 α 按如下方式定义得分:
仅当 X 恰好有两个水平时,才提供基于正态近似的检验。本节中使用的符号在符号中定义。“双样本正态近似”报表中显示的统计量定义如下。
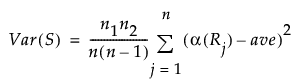
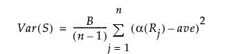
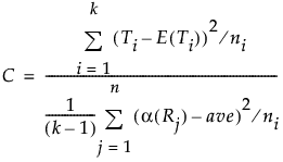
定义 ave 为所有观测的平均得分。那么 S 的方差如下所示:
Ti
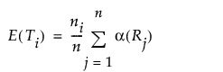
X 的第 i 个水平的得分合计。
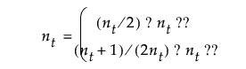
在水平中无差值的原假设下水平 i 的总得分的预期值,如下所示:
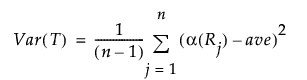
定义 ave 为所有观测的平均得分。那么 T 的方差如下所示:
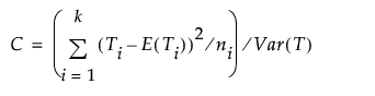
检验统计量的值如下所示。该统计量是 k - 1 自由度下的渐近卡方。












