JMP 14.2 联机文档
发现 JMP
使用 JMP
基本分析
基本绘图
刻画器指南
实验设计指南
拟合线性模型
预测和专业建模
多元方法
质量和过程方法
可靠性和生存方法
消费者研究
Scripting Guide
JSL Syntax Reference
该帮助的版本不再更新,请参见
https://www.jmp.com/support/help/zh-cn/15.2
获取最新的版本.
消费者研究
•
分类响应分析
• “分类”平台的统计详细信息
上一个
•
下一个
“分类”平台的统计详细信息
Rao-Scott 校正
Rao-Scott 校正应用于多重响应的响应齐性检验。请参见 Lavassani et al.(
2009
)。多重响应的响应齐性检验仅在“结构化”选项卡上提供。
若存在多重响应,您可以有重叠样本,这意味着单个参与者可提供不止一个响应。Pearson 卡方检验不适用于多重响应,因为多重响应违反了 Pearson 卡方检验的独立性假设。此外,使用边缘合计计算的期望值受多重响应影响,因为若不允许多重响应则合计会变大。
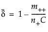
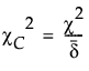
Rao-Scott 卡方统计量定义如下:
其中
是标准 Pearson 卡方统计量,
是由以下公式定义的校正因子
其中
是多重响应的合计数
是参与者合计数
C
是响应水平数(交叉表中的列数)。
自由度为 (
R
-1)
C
或行数减 1 后与列数的乘积。