该报表给出模型中每个参数估计值的“CI(置信区间)长度部分增加”和“估计的相对标准误差”。这两个值越小越好。图 15.22显示 Design Experiment 文件夹下 Bounce Data.jmp 样本数据表的“估计效率”分级显示项。
图 15.22 “估计效率”分级显示项
普通最小二乘估计量的协方差矩阵为 σ2(X’X)-1。(X’X)-1 的对角线元素是参数估计值的相对方差(除以 σ2 后的方差)。对于两水平设计和使用效应编码规则(请参见编码),任何参数估计值的相对方差的最小值为 1/n,其中,n 是试验次数。当设计的所有效应都正交并且设计为 D 最优时就会发生这种情况。
用
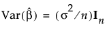
表示参数估计值的向量。理想设计(可能不存在)是具有如下给出的协方差矩阵的设计:
表示参数估计值的向量。理想设计(可能不存在)是具有如下给出的协方差矩阵的设计:具体而言,对于第 i 个参数,按以下方式定义“置信区间长度的部分增加”:
σ2 是未知的响应方差,
是
的第 i 个对角线元素,n 是试验次数。
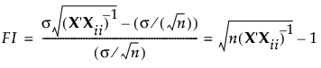
“估计的相对标准误差”提供参数估计值的标准差与误差标准差的比值。这些值指示模型参数估计值的标准误差相对于误差标准差有多大。对于第 i 个参数估计值,按以下方式定义“估计的相对标准误差”:
是
的第 i 个对角线元素。

是 

