JMP 14.2 联机文档
发现 JMP
使用 JMP
基本分析
基本绘图
刻画器指南
实验设计指南
拟合线性模型
预测和专业建模
多元方法
质量和过程方法
可靠性和生存方法
消费者研究
Scripting Guide
JSL Syntax Reference
该帮助的版本不再更新,请参见
https://www.jmp.com/support/help/zh-cn/15.2
获取最新的版本.
实验设计指南
•
技术细节
• 别名矩阵
上一个
•
下一个
别名矩阵
“别名矩阵”条目表示您在“别名项”分级显示项中指定的效应传导给模型参数的偏倚度。别名矩阵也用于定义别名最优性。请参见
“定制设计”一章中第 112 页的
“别名最优性”
。
别名矩阵的计算基于模型矩阵。请参见
“定制设计”一章中第 97 页的
“模型矩阵”
。
让
X
1
作为与“模型”分级显示框中的项对应的模型矩阵。用
X
2
表示“别名项”分级显示框中指定的效应的模型项矩阵。
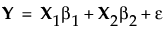
按以下方式给定假设模型:
假定一些别名项是活跃的,并且按以下方式给定真实模型:
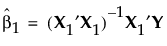
给定
β
1
的最小二乘估计量如下所示:
在通常的回归假设下,给定
的期望值如下所示:
其中
矩阵
A
称为
别名矩阵
。