JMP 14.2 联机文档
发现 JMP
使用 JMP
基本分析
基本绘图
刻画器指南
实验设计指南
拟合线性模型
预测和专业建模
多元方法
质量和过程方法
可靠性和生存方法
消费者研究
Scripting Guide
JSL Syntax Reference
该帮助的版本不再更新,请参见
https://www.jmp.com/support/help/zh-cn/15.2
获取最新的版本.
实验设计指南
•
技术细节
•
别名矩阵
• 具有“困难”或“极难”因子更改的设计
上一个
•
下一个
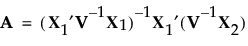
具有“困难”或“极难”因子更改的设计
对于具有难以更改的因子或极难更改的因子的设计,按以下方式给定别名矩阵:
其中
V
是响应的区组对角协方差矩阵。