JMP 14.2 联机文档
发现 JMP
使用 JMP
基本分析
基本绘图
刻画器指南
实验设计指南
拟合线性模型
预测和专业建模
多元方法
质量和过程方法
可靠性和生存方法
消费者研究
Scripting Guide
JSL Syntax Reference
该帮助的版本不再更新,请参见
https://www.jmp.com/support/help/zh-cn/15.2
获取最新的版本.
实验设计指南
•
筛选设计
•
“筛选设计”窗口
• 主效应筛选设计
上一个
•
下一个
主效应筛选设计
若实验涉及分类或离散数值因子,或是试验次数受限,则有可能无法构造正交设计来筛选主效应。但是,可以构造主效应筛选设计。请参见 Lekivetz et al. (
2015
)。
主效应筛选设计是一种包含良好的平衡属性的设计(如卡方准则所述)。请参见
卡方效率
。这种设计包含主效应模型所需的统计属性。
用于生成设计的算法尝试构建强度为 2 的正交表。强度为 2 的正交表允许在交互作用可忽略不计的情况下对主效应进行正交估计。这些表是筛选设计的理想选择。分辨率为 3 的常规部分析因设计和 Plackett-Burman 设计就是强度为 2 的正交表示例。
考虑设计中因子的所有可能水平对。该算法尝试尽量平衡水平对的数目。假设已经生成了固定数目的列,将随机构建新的平衡列。定义了一个测度来反映涉及新列的水平对所达到的平衡度。该算法尝试通过在新列内交换水平使该测度最小化。
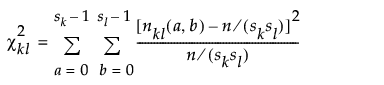
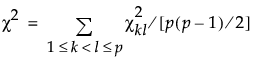
卡方效率
假定某个设计具有
n
次试验和
p
个与设计矩阵列对应的因子。
•
将因子
k
和
l
的水平分别表示为
和
。
•
将水平组合 (
a
,
b
) 出现在列
k
和
l
中的次数表示为
。
列
k
和
l
所证明的非正交测度可通过下面的表达式得出:
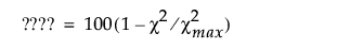
设计的平均非正交测度通过下面的表达式得出:
可以得到
χ
2
的最大可能值,表示为
。设计的卡方效率定义如下:
卡方效率指示相对于成对水平显示极端失衡的设计,
χ
2
与零接近的程度。