JMP 14.2 联机文档
发现 JMP
使用 JMP
基本分析
基本绘图
刻画器指南
实验设计指南
拟合线性模型
预测和专业建模
多元方法
质量和过程方法
可靠性和生存方法
消费者研究
Scripting Guide
JSL Syntax Reference
该帮助的版本不再更新,请参见
https://www.jmp.com/support/help/zh-cn/15.2
获取最新的版本.
实验设计指南
•
技术细节
•
功效计算
• 单个参数的功效
上一个
•
下一个
单个参数的功效
本节说明如何计算单个参数的检验功效。使用以下符号:
X
模型矩阵。有关为名义型效应编码的信息,请参见《
拟合线性模型
》手册中的
“名义型效应的编码”
。另请参见
“定制设计”一章中第 97 页的
“模型矩阵”
。
注意:
您可以通过运行“拟合模型”来查看模型矩阵。然后从主报表的红色小三角菜单选择
保存列 > 保存编码表
。
b
i
关注项所对应的参数。
β
i
的最小二乘估计量
预期系数值。要检测的差值是
。
的方差由
的第
i
个对角线元素给出,其中 σ
2
为误差方差。用
表示
的第
i
个对角线元素。
误差方差 σ
2
由均方误差估计得出,具有
个自由度,其中:
n
是观测数,
p
是模型中除截距之外的项数。
检验表示为:
或等效表示为:
在原假设下,检验统计量
F
0
具有自由度为
1
和
的
F
分布。
若
的真实值为
,则
F
0
具有非中心
F
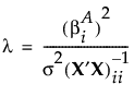
分布,其非中心参数由以下公式给出:
要计算检验功效,首先要求解 α 水平临界值
F
c
:
然后按照如下方式计算功效: