JMP 14.2 联机文档
发现 JMP
使用 JMP
基本分析
基本绘图
刻画器指南
实验设计指南
拟合线性模型
预测和专业建模
多元方法
质量和过程方法
可靠性和生存方法
消费者研究
Scripting Guide
JSL Syntax Reference
该帮助的版本不再更新,请参见
https://www.jmp.com/support/help/zh-cn/15.2
获取最新的版本.
实验设计指南
•
技术细节
•
功效计算
• 分类效应的功效
上一个
•
下一个
分类效应的功效
本节说明如何计算整个分类效应的检验功效。使用以下符号:
X
模型矩阵。请参见
技术细节附录中第
别名矩阵
。
参数的向量。
β 的最小二乘估计值。
预期系数值的向量。
定义分类效应的检验的矩阵。矩阵
L
标识 β 中对应于分类效应的参数值并将它们设置为 0。分类效应检验的原假设为:
r
L
的秩。或者,
r
为分类效应的水平数减去 1。
注意:
您可以通过运行“拟合模型”来查看设计矩阵。然后从主报表的红色小三角菜单选择
保存列 > 保存编码表
。
的协方差矩阵由
给出,其中 σ
2
为误差方差。
误差方差 σ
2
由均方误差估计得出,具有
个自由度,其中:
n
是观测数,
p
是模型中除截距之外的项数。
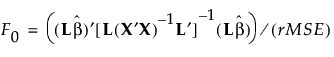
检验表示为:
在原假设下,检验统计量
F
0
具有自由度为
r
和
的
F
分布。
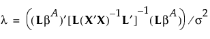
若 β 的真实值为
,则
F
0
具有非中心
F
分布,其非中心参数由以下公式给出:
要计算检验功效,首先要求解 α 水平临界值
F
c
:
然后按照如下方式计算功效: