JMP 14.2 联机文档
发现 JMP
使用 JMP
基本分析
基本绘图
刻画器指南
实验设计指南
拟合线性模型
预测和专业建模
多元方法
质量和过程方法
可靠性和生存方法
消费者研究
Scripting Guide
JSL Syntax Reference
该帮助的版本不再更新,请参见
https://www.jmp.com/support/help/zh-cn/15.2
获取最新的版本.
实验设计指南
•
技术细节
• 相对预测方差
上一个
•
下一个
相对预测方差
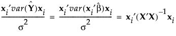
使用以下符号:
X
模型矩阵。请参见
“定制设计”一章中第 97 页的
“模型矩阵”
。定制设计提供显示该模型矩阵的脚本。请参见
“定制设计”一章中第 97 页的
“保存 X 矩阵”
。
s
2
误差方差。
参数的最小二乘估计值的向量。
X
的第
i
行。
使用该符号,
X
的第
i
行的预测响应表示为:
由
所定义的设置处的相对预测方差为: