JMP 14.2 联机文档
发现 JMP
使用 JMP
基本分析
基本绘图
刻画器指南
实验设计指南
拟合线性模型
预测和专业建模
多元方法
质量和过程方法
可靠性和生存方法
消费者研究
Scripting Guide
JSL Syntax Reference
该帮助的版本不再更新,请参见
https://www.jmp.com/support/help/zh-cn/15.2
获取最新的版本.
拟合线性模型
•
Logistic 回归模型
•
“名义型 Logistic”和“有序型 Logistic”特质的统计详细信息
• Logistic 回归模型
上一个
•
下一个
Logistic 回归模型
Logistic 回归使用
X
项的线性模型拟合名义型
Y
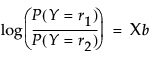
响应。更确切地说,它使用 Logistic 函数拟合响应水平的概率。对于两个响应水平,该函数为:
其中
r
1
是第一个响应水平
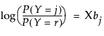
或等价于:
其中
r
1
和
r
2
分别是两个响应水平
注意:
当 Y 为二值且具有名义型建模类型时,可以在“拟合模型”窗口中设置“目标水平”来指定您要对其概率建模的水平。在本节中,将目标水平指定为
r
1
。
对于
r
个名义型响应水平(其中
),模型由以下形式的
个线性模型参数定义:
最大似然的拟合原理是选择
β
通过模型使归因于发生响应的联合概率最大。该拟合原理等价于使负对数似然(
–对数似然
)最小化: