JMP 14.2 联机文档
发现 JMP
使用 JMP
基本分析
基本绘图
刻画器指南
实验设计指南
拟合线性模型
预测和专业建模
多元方法
质量和过程方法
可靠性和生存方法
消费者研究
Scripting Guide
JSL Syntax Reference
该帮助的版本不再更新,请参见
https://www.jmp.com/support/help/zh-cn/15.2
获取最新的版本.
拟合线性模型
•
Logistic 回归模型
•
“名义型 Logistic”和“有序型 Logistic”特质的统计详细信息
• 优势比
上一个
•
下一个
优势比
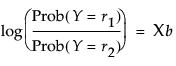
对于两个响应水平,Logistic 回归模型如下所示:
,其中
r
1
和
r
1
是两个响应水平
因此,
优势比
定义如下:
请注意 exp(
β
i
(
X
i
+ 1)) = exp(
β
i
X
i
) exp(
β
i
)。这说明若
X
i
变化一个单位量,则优势乘以 exp(
β
i
),我们将其标记为
单位优势比
。当
X
i
在整个范围内变化时,优势乘以 exp((
X
高
-
X
低
)
β
i
),我们将其标记为
范围优势比
。对于二值响应,响应水平交换后的对数优势比仅涉及参数符号的变化。因此,您可能需要报告值的倒数,以关注最后一个响应水平而非第一个响应水平。
二水平名义型效应的第一个和第二个水平分别编码为 1 和 -1,因此将关注范围优势比或其倒数。
若您选择“优势比”选项时未计算任何参数估计值的置信区间,则选择“优势比”选项将为优势比生成基于 Wald 的置信区间。
满足以下所有条件时选择“优势比”选项将为优势比生成基于刻画似然的置信区间:
•
选择了“似然比检验”选项
•
每个响应的参数数目少于 8
•
行数少于 1000。
在“优势比”报表底部说明用于计算优势比的置信区间的方法。